War and revenue: Statistical evidence

PSCI 2227: War and State Development

Prof. Brenton Kenkel

Vanderbilt University

February 18, 2026

Hypotheses

What are Karaman and Pamuk going to collect data on?

  1. More intense war participation \(\leadsto\) more fiscal capacity
    • Consistent with Tilly, Thies, Levi
  1. More urbanized society \(\leadsto\) more fiscal capacity
    • Consistent with Spruyt, Abramson
  1. More representative government \(\leadsto\) more fiscal capacity? or less?
    • “More” consistent(ish) with Dincecco and Wang
    • But also compelling reasons to believe “less”
  1. Interactions — each factor might alter the effects of others

Data

Dependent variable: fiscal capacity

  • Raw measures: total and per capita tax revenue by silver weight
  • Preferred measure: per capita tax revenue, in days of unskilled labor
    • roughly, how many days would you have to work an unpleasant job in a city to pay off the average annual tax bill?

Independent variables:

  • War intensity — “apportioned” casualties per thousand
    • all casualties divided evenly across sides, to proxy for intensity
  • Urbanization — share of population living in cities w/ 10k+ residents
  • Representation — responsibility/frequency of a national assembly

Differences in fiscal capacity

Fiscal capacity: Present-day comparison

Important caveat for real-world impact: US taxes now much more progressive than European state taxes in 1500–1800

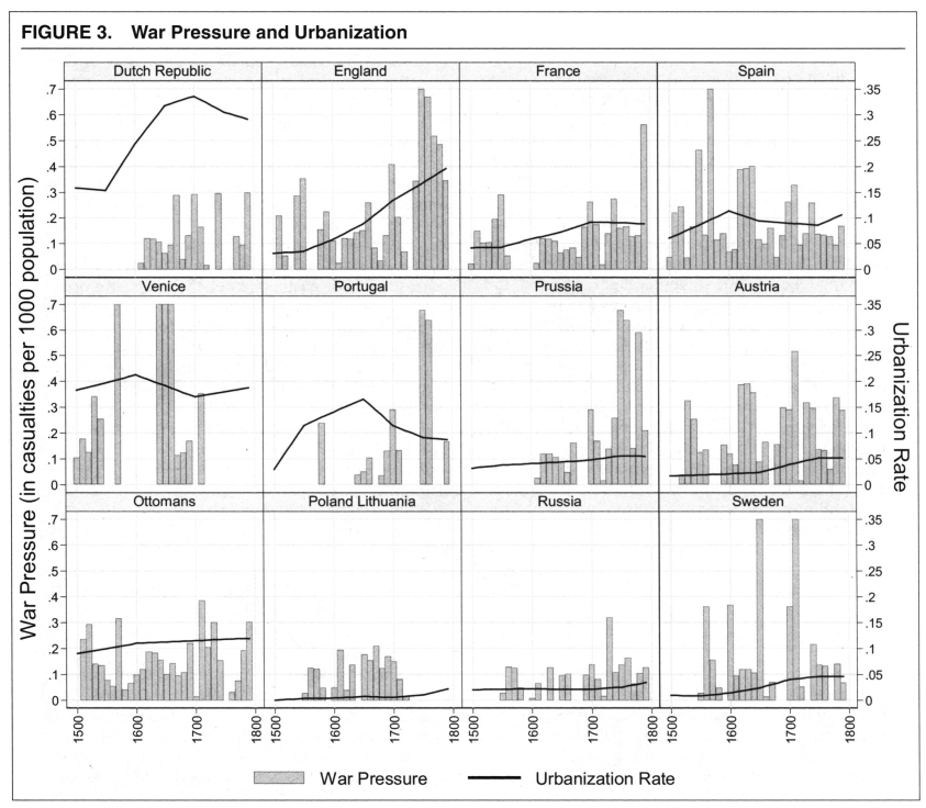
Differences in war intensity (and urbanization)

The key correlations

War and urbanization correlated with higher revenues
No consistent pattern with representation

What’s the deal with representation?

Karaman and Pamuk’s basic premises:

  • Representation enables elite coordination and cooperation
  • Urban elites are favorable to central states, rural elites aren’t

Leads them to expect conditional effects of war pressure

  • urbanized, representative \(\leadsto\) war makes the state
  • rural, autocratic \(\leadsto\) war also makes the state (diff reasons)
  • war doesn’t make state in urban/autocratic or rural/representative

(my take: insufficient data to make solid inferences about such a thin-sliced argument…)

Urbanization, representation, and war: Nuances

Wrapping up

What we did today

  1. Levi’s theory of rulers and revenue
    • Rulers must compel or cooperate with elites to raise money
    • Relative bargaining power is key determinant of fiscal capacity
    • War (mostly) shifts that power toward the ruler
  2. Karaman and Pamuk’s statistical evidence
    • War pressure + urbanization increased fiscal capacity in Europe
    • Effects of representative institutions were … complicated

To do for next time

Project proposal due Friday at 11:59pm

Need help before then?

For Monday read Queralt 2019, “War, International Finance, and Fiscal Capacity in the Long Run”